Stationary nonlinear heat transfer#
This demo shows how to use a simple MFront
behavior to solve a non-linear stationary heat transfer equation with dolfinx_materials
.
Description of the non-linear constitutive heat transfer law#
The thermal material is described by the following non linear Fourier Law:
where \(\mathbf{j}\) is the heat flux and \(\mathbf{\nabla} T\) is the temperature gradient.
Expression of the thermal conductivity#
The thermal conductivity is assumed to be given by:
This expression accounts for the phononic contribution to the thermal conductivity.
Derivatives#
As discussed below, the consistent linearisation of the heat transfer equilibrium requires to compute:
the derivative \({\displaystyle \frac{\displaystyle \partial \mathbf{j}}{\displaystyle \partial \mathbf{\nabla} T}}\) of the heat flux with respect to the temperature gradient. \({\displaystyle \frac{\displaystyle \partial \mathbf{j}}{\displaystyle \partial \mathbf{\nabla} T}}\) is given by: $\( {\displaystyle \frac{\displaystyle \partial \mathbf{j}}{\displaystyle \partial \mathbf{\nabla} T}}=-k\left(T\right)\,\matrix{I} \)$
the derivative \({\displaystyle \frac{\displaystyle \partial \mathbf{j}}{\displaystyle \partial T}}\) of the heat flux with respect to the temperature. \({\displaystyle \frac{\displaystyle \partial \mathbf{j}}{\displaystyle \partial T}}\) is given by: $\( {\displaystyle \frac{\displaystyle \partial \mathbf{j}}{\displaystyle \partial T}}=-{\displaystyle \frac{\displaystyle \partial k\left(T\right)}{\displaystyle \partial T}}\,\mathbf{\nabla} T=B\,k^{2}\,\mathbf{\nabla} T \)$
MFront
’ implementation#
Choice of the the domain specific language#
Every MFront
file is handled by a domain specific language (DSL), which
aims at providing the most suitable abstraction for a particular choice
of behavior and integration algorithm. See mfront mfront --list-dsl
for a list of the available DSLs.
The name of DSL’s handling generic behaviors ends with
GenericBehaviour
. The first part of a DSL’s name is related to the
integration algorithm used.
In the case of this non linear transfer behavior, the heat flux is
explicitly computed from the temperature and the temperature gradient.
The DefaultGenericBehaviour
is the most suitable choice:
@DSL DefaultGenericBehaviour;
Some metadata#
The following lines define the name of the behavior, the name of the author and the date of its writing:
@Behaviour StationaryHeatTransfer;
@Author Thomas Helfer;
@Date 15/02/2019;
Gradients and fluxes#
Generic behaviors relate pairs of gradients and fluxes. Gradients and fluxes are declared independently but the first declared gradient is assumed to be conjugated with the first declared fluxes and so on…
The temperature gradient is declared as follows (note that Unicode characters are supported):
@Gradient TemperatureGradient ∇T;
∇T.setGlossaryName("TemperatureGradient");
Note that we associated to ∇T
the glossary name TemperatureGradient
.
This is helpful for the calling code.
After this declaration, the following variables will be defined:
The temperature gradient
∇T
at the beginning of the time step.The increment of the temperature gradient
Δ∇T
over the time step.
The heat flux is then declared as follows:
@Flux HeatFlux j;
j.setGlossaryName("HeatFlux");
In the following code blocks, j
will be the heat flux at the end of
the time step.
Tangent operator blocks#
By default, the derivatives of the gradients with respect to the fluxes
are declared. Thus the variable ∂j∕∂Δ∇T
is automatically declared.
However, as discussed in the next section, the consistent linearisation of the thermal equilibrium requires to return the derivate of the heat flux with respect to the increment of the temperature (or equivalently with respect to the temperature at the end of the time step).
@AdditionalTangentOperatorBlock ∂j∕∂ΔT;
Parameters#
The A
and B
coefficients that appears in the definition of the
thermal conductivity are declared as parameters:
@Parameter real A = 0.0375;
@Parameter real B = 2.165e-4;
Parameters are stored globally and can be modified from the calling
solver or from python
in the case of the coupling with FEniCS
discussed below.
Local variable#
A local variable is accessible in each code blocks.
Here, we declare the thermal conductivity k
as a local variable in
order to be able to compute its value during the behavior integration
and to reuse this value when computing the tangent operator.
@LocalVariable thermalconductivity k;
Integration of the behavior#
The behavior integration is straightforward: one starts to compute the temperature at the end of the time step, then we compute the thermal conductivity (at the end of the time step) and the heat flux using the temperature gradient (at the end of the time step).
@Integrator{
// temperature at the end of the time step
const auto T_ = T + ΔT;
// thermal conductivity
k = 1 / (A + B ⋅ T_);
// heat flux
j = -k ⋅ (∇T + Δ∇T);
} // end of @Integrator
Tangent operator#
The computation of the tangent operator blocks is equally simple:
@TangentOperator {
∂j∕∂Δ∇T = -k ⋅ tmatrix<N, N, real>::Id();
∂j∕∂ΔT = B ⋅ k ⋅ k ⋅ (∇T + Δ∇T);
} // end of @TangentOperator
FEniCSx
implementation#
We consider a rectanglar domain with imposed temperatures Tl
(resp. Tr
) on the left (resp. right) boundaries. We want to solve for the temperature field T
inside the domain using a \(P^1\)-interpolation. We initialize the temperature at value Tl
throughout the domain.
import numpy as np
import matplotlib.pyplot as plt
import ufl
from mpi4py import MPI
from dolfinx import fem, mesh
from dolfinx.cpp.nls.petsc import NewtonSolver
from dolfinx_materials.quadrature_map import QuadratureMap
from dolfinx_materials.solvers import NonlinearMaterialProblem
from dolfinx_materials.material.mfront import MFrontMaterial
import os
current_path = os.getcwd()
length = 30e-3
width = 5.4e-3
domain = mesh.create_rectangle(MPI.COMM_WORLD, [(0.0, 0.0), (length, width)], [100, 10])
V = fem.functionspace(domain, ("CG", 1))
T = fem.Function(V, name="Temperature")
def left(x):
return np.isclose(x[0], 0)
def right(x):
return np.isclose(x[0], length)
Tl = 300.0
Tr = 800.0
T.vector.set(Tl)
left_dofs = fem.locate_dofs_geometrical(V, left)
right_dofs = fem.locate_dofs_geometrical(V, right)
bcs = [fem.dirichletbc(Tl, left_dofs, V), fem.dirichletbc(Tr, right_dofs, V)]
Loading the material behavior#
We use the MFrontMaterial
class for describing the material behavior. The first argument corresponds to the path where material libraries have been compiled, the second correspond to the name of the behavior (declared with @Behaviour
). Finally, the modelling hypothesis is specified (default behavior is "3d"
).
material = MFrontMaterial(
os.path.join(current_path, "src/libBehaviour.so"),
"StationaryHeatTransfer",
hypothesis="plane_strain",
)
The MFront
behavior declares the field "TemperatureGradient"
as a Gradient variable, with its associated Flux called "HeatFlux"
. We can check that the material
object retrieves MFront
’s gradient and flux names, as well as the different tangent operator blocks which have been defined, namely dj_ddgT
and dj_ddT
in the present case:
print(material.gradients)
print(material.fluxes)
print(["d{}_d{}".format(*t) for t in material.tangent_blocks])
{'TemperatureGradient': 2}
{'HeatFlux': 2}
['dHeatFlux_dTemperatureGradient', 'dHeatFlux_dTemperature']
Non-linear problem definition#
We now define the non-linear residual form that we want to solve. After defining test and trial functions, we instantiate the QuadratureMap
object which will handle the black-box constitutive equation based on the material
object. We must provide the requested quadrature degree which will control the number of quadrature points used in each cell to compute the non-linear constitutive law. Here, we specify a quadrature of degree 2 (i.e. 3 Gauss points for a triangular element).
T_ = ufl.TestFunction(V)
dT = ufl.TrialFunction(V)
deg_quad = 2
qmap = QuadratureMap(domain, deg_quad, material)
Variable registration#
The MFront
behavior implicitly declares the temperature as an external state variable called "Temperature"
. We must therefore associate this external state variable to a known mechanical field. This can be achieved explicitly using the register_external_state_variable
method.
For problems in which the temperature only acts as a parameter (no jacobian blocks with respect to the temperature), the temperature can be automatically registered as a constant value (\(293.15 \text{ K}\) by default) or to any other (dolfin.Constant
, float
or dolfin.Function
) value using the register_external_state_variable
method.
Finally, we need to associate to MFront
gradient object the corresponding UFL expression as a function of the unknown field T
. To do so, we use the register_gradient
method linking MFront
"TemperatureGradient"
object to the UFL expression grad(T)
.
qmap.register_external_state_variable("Temperature", T)
qmap.register_gradient("TemperatureGradient", ufl.grad(T))
Nonlinear variational formulation#
We are now in position of defining the nonlinear variational formulation corresponding to the stationary nonlinear heat transfer. Without any external loading, the nonlinear residual reads as:
where the heat flux \(\mathbf{j}\) is provided by the QuadratureMap
as a flux. The latter is a dolfinx
function defined on Quadrature
function space (no interpolation is possible). Note that the integration measure must match the chosen quadrature scheme and quadrature degree. It is provided here as qmap.dx
.
The qmap.derivative
function works similarly to the standard ufl.derivative
function except that it will also differentiate the heat flux. From the two tangent operator blocks dj_ddgT
and dj_ddT
, it will automatically be deduced that the heat flux \(\mathbf{j}\) is a function of both the temperature gradient \(\mathbf{g}=\nabla T\) and the temperature itself i.e. \(\mathbf{j}=\mathbf{j}(\mathbf{g}, T)\). Hence, the computed Jacobian form will be:
The resulting nonlinear problem is managed by the NonlinearMaterialProblem
class. It is solved using a Newton non-linear solver. The solve
method returns the converged status and the number of Newton iterations.
j = qmap.fluxes["HeatFlux"]
F = ufl.dot(j, ufl.grad(T_)) * qmap.dx
Jac = qmap.derivative(F, T, dT)
problem = NonlinearMaterialProblem(qmap, F, Jac, T, bcs)
newton = NewtonSolver(MPI.COMM_WORLD)
converged, it = problem.solve(newton)
# Problem is weakly nonlinear, it should converge in a few iterations
assert converged and it < 10
Solution reached in 4 iterations.
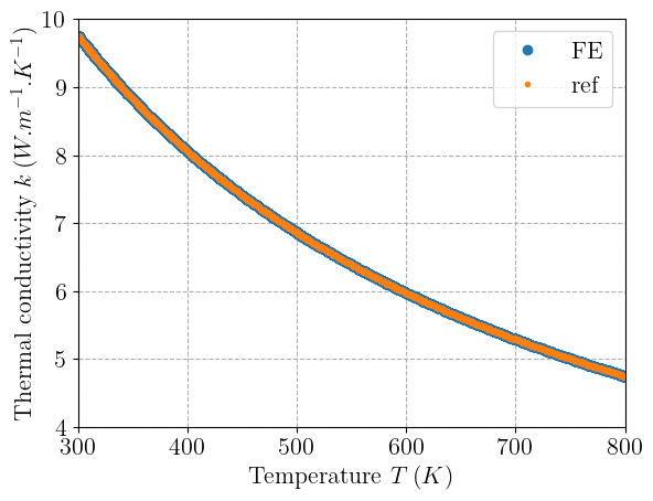
We finally check that the thermal conductivity coefficient \(k\), computed from the ratio between the horizontal heat flux and temperature gradient matches the temperature-dependent expressions implemented in the MFront
behavior.
j_vals = j.vector.array
g_vals = qmap.gradients["TemperatureGradient"].function.vector.array
k_gauss = -j_vals[::2] / g_vals[::2]
T_gauss = qmap.external_state_variables["Temperature"].function.vector.array
A = material.get_parameter("A")
B = material.get_parameter("B")
k_ref = 1 / (A + B * T_gauss)
plt.plot(T_gauss, k_gauss, "o", label="FE")
plt.plot(T_gauss, k_ref, ".", label="ref")
plt.xlabel(r"Temperature $T\: (K)$")
plt.ylabel(r"Thermal conductivity $k\: (W.m^{-1}.K^{-1})$")
plt.legend()
plt.show()
